
Bekriegen sich seit etwa 130 Jahren mit Preissenkungen, z.B. während des Superbowls
Ähnlich robust geht es im Werbemarkt zu, wo beide extrem aktiv und kreativ agieren (“Cola-Wars” in den 1970ern und 80ern)

Wettberb mit Investitionen in Produktionskapazität sowie Teile und andere Inputs
Design- und Modellentscheidungen werden hochstrategisch getroffen
Wirtschaftswissenschaften:
Auktionen, z.B. von Rechten zur Nutzung von Bandbreiten für Mobiltelefonie, Organspende, CO2 Lizenzen, öffentliche Beschaffung
Ökonomische Beziehungen wie Arbeitgeber-/Arbeitnehmer-Verhältnisse oder bilaterale Kaufentscheidungen sind von strategischen Motiven bestimmt (z.B. Informationsasymmetrien und Vertragsunvollständigkeit, Karrieremotive)
Politikwissenschaften:
Politischer Wettbewerb zwischen Parteien und Kandidat:innen
Internationale Konflikte, z.B. ökonomischer oder militärischer Natur
Biologie und Ökologie:
Computerspiele, Physik, Informatik, etc. pp.
Ziele
Die weitverbreitete Sprache der Spieltheorie erlernen und benutzen
Gleichgewichtskonzepte verstehen und benutzen
Strategische Interaktionen modellieren
Ressourcen
Kapitel im Varian: 29, 30
YouTube, ChatGPT, Spiele-App am Ende
Das vielleicht bekannteste Spiel ist das Gefangenendilemma
Zwei Täter verüben einen Banküberfall, können aber gefasst werden
Sie werden in zwei unterschiedliche Zellen gesperrt und können nicht kommunizieren
Es gibt zu wenige Hinweise und man ist auf die Aussagen der beiden angewiesen
Gestehen beide, erhalten sie jeweils 2 Jahre Gefängnis
Gesteht jeweils nur einer während der andere schweigt, wird der Geständige aufgrund der Kronzeugenregelung freigelassen, der Verweigerer bekommt 3 Jahre Gefängnis
Schweigen beide, bekommen beide ein Jahr
Wir können das Spiel leicht mithilfe einer Auszahlungsmatrix darstellen
| Spieler:in 2 | |||
|---|---|---|---|
| Schweigen | Reden | ||
| Spieler:in 1 | Schweigen | (-1, -1) | (-3, 0) |
| Reden | ( 0, -3) | (-2, -2) | |
Der erste Eintrag in jeder Zelle ist der payoff für Spieler:in 1, der zweite für Spieler:in 2
Die Strategien sind einfach, da jeweils nur eine Entscheidung getroffen werden muss und man das Verhalten des anderen nicht kennt
Teamarbeit: Wie geht dieses Spiel aus?
Die Spieltheorie lässt sich grob in kooperative und non-kooperative Spieltheorie gliedern
Spieler:innen
Strategien
Pläne, an welchem Punkt bzw. unter welchen Bedingungen welche Entscheidung getroffen wird
Sie betreffen immer das gesamte Spiel, also alle Entscheidungen
Wir unterscheiden reine Strategien, die deterministisch sind, und gemischte Strategien, in denen wir würfeln
Payoffs oder Auszahlungen
Dies sind die “Resultate”: Wieviel erhält jeder Spieler und unter welchen Bedingungen
Spiele können oft mithilfe einer Auszahlungsmatrix charakterisiert werden
Wie geht das Gefangenendilemma aus?
Wir benutzen wiederum das Konzept eines Gleichgewichts
Also eine Situation, in der keine der Parteien einen Anreiz hat, von ihrer Strategie abzuweichen
Das Ergebnis ist somit in gewisser Weise stabil, was für empirische Arbeit extrem wichtig ist
Im Fall des GD ist es leicht: Beide Spieler:innen haben eine strikt dominante Strategie, nämlich “Reden”
Strikt dominant bedeutet, dass diese Strategie immer strikt bessere payoffs verspricht als andere Strategien
Schwach dominant heißt, dass diese Strategie nie schlechter ist als alle anderen Strategien
Wir haben also ein Gleichgewicht in strikt dominanten Strategien
| Spieler:in 2 | |||
|---|---|---|---|
| Schweigen | Reden | ||
| Spieler:in 1 | Schweigen | (-1, -1) | (-3, 0) |
| Reden | ( 0, -3) | (-2, -2) | |
(Reden,Reden) ist ein Gleichgewicht, da sich beide nur schlechter stellen können
Einsicht des GD: individuell rationales Verhalten führt hier zu einem sozial unglücklichen Ergebnis!
Zumeist hängt die optimale Strategie jedoch vom Verhalten des:r anderen ab…
Die vielleicht wichtigste Gleichgewichtsidee stammt von einem Mathematiker, John Nash (*1928–†2015)
Professor am MIT, später Arbeit in Princeton
Nobel Preis 1994 für seine Beiträge zur Spieltheorie (mit John Harsanyi und Reinhard Selten)
Litt unter schwerer Schizophrenie; bekannt durch den Oscar-prämierten Film “A Beautiful Mind”

Gleichgewichte in dominanten Strategien treten sehr selten auf
Wir beobachten trotzdem, dass sich in Spielen stabiles Verhalten einstellt
Ein anderes Gleichgewichtskonzept muss her!
Nash’s Idee war so einfach wie bedeutsam:
Nash-Gleichgewicht dar, wenn jede:r Spieler:in die optimale Strategie spielt, gegeben die Strategien der/des anderenMit anderen Worten, jeder spielt die beste Antwort auf die Gleichgewichtsstrategien der anderen
Erwartungen über das Verhalten der anderen Spieler:innen stimmen mit deren Handlungen überein| Spieler:in 2 | |||
|---|---|---|---|
| Oper | Fußball | ||
| Spieler:in 1 | Oper | (2, 1) | (0, 0) |
| Fußball | ( 0, 0) | (1, 2) | |
Zwei Spieler:innen, die sich nicht koordinieren können, haben die Wahl, wo sie hingehen
Teamarbeit: Wie geht das Spiel im Sinne von Nash aus?
| Spieler:in 2 | |||
|---|---|---|---|
| Oper | Fußball | ||
| Spieler:in 1 | Oper | (2, 1) | (0, 0) |
| Fußball | ( 0, 0) | (1, 2) | |
Es gibt hier zwei Nash-Gleichgewichte: (O,O) und (F,F)
Bei (O,O) wird Spieler:in 1 nicht einseitig abweichen wollen, da Fußball allein keinen Spaß macht
Gleiches gilt für Spieler:in 2, auch wenn sie Fußball vorziehen würde
Das gleiche Argument hält für (F,F)
Beachte: Es gibt noch ein weiteres Nash-Gleichgewicht, nämlich in gemischten Strategien – dazu später mehr!
| Spieler:in 2 | |||
|---|---|---|---|
| Hawk | Dove | ||
| Spieler:in 1 | Hawk | \(\left (\frac{V}{2}-C, \frac{V}{2}-C \right)\) | \((V, 0)\) |
| Dove | \((0, V)\) | \(\left (\frac{V}{2}, \frac{V}{2} \right)\) | |
Diese Situation verkörpert den Kampf um eine Ressource \(V\) (oder eine Mutprobe)
Zeigen beide aggressives oder beide zurückweichendes Verhalten, wir die Resource hälftig aufgeteilt
Kämpfen verursacht jedoch Kosten \(C\)
\(V/2-C\) kann positiv oder negativ sein
Zeigt nur ein:e Spieler:in aggressives Verhalten, gewinnt er/sie die Resource
Teamarbeit: Finden Sie alle Nash-Gleichgewichte in reinen Strategien
| Spieler:in 2 | |||
|---|---|---|---|
| Kopf | Zahl | ||
| Spieler:in 1 | Kopf | (1, -1) | (-1, 1) |
| Zahl | (-1, 1) | (1, -1) | |
Wenn beide Spieler:innen die gleiche Seite wählen, gewinnt Spieler:in 1, wenn sie unterschiedliche wählen, Spieler:in 2
Teamarbeit: Finden Sie ein Nash-Gleichgewicht
In matching pennies gibt es nur ein Nash-Gleichgewicht: Beide Spieler:innen werfen tatsächlich eine faire Münze
Beide spielen also Kopf und Zahl mit jeweils 50% Wahrscheinlichkeit
Kein:e Spieler:in hat einen Anreiz, einseitig abzuweichen, da man sich nicht besser als \(0\) stellen kann
Um dies mathematisch zu zeigen, muss man verstehen, dass Spieler:innen, die gemischte Strategien spielen wollen, immer indifferent zwischen den reinen Strategien sein müssen
Ansonsten würden sie ja eine der Optionen strikt bevorzugen
Jede:r Spieler:in muss also die anderen mit der Strategie indifferent halten
Dies ist im Gleichgewicht offensichtlich der Fall
Im Fall von matching pennies muss der Erwartungswert von Kopf gleich dem Erwartungswert von Zahl sein
\[ \underbrace{p_2^{NE} * 1}_{\text{Übereinstimmung}} + \underbrace{(1-p_2^{NE}) * (-1)}_{\text{Unterschied}} = 2p_2^{NE}-1 \]
\[ \underbrace{p_2^{NE} * (-1)}_{\text{Unterschied}} + \underbrace{(1-p_2^{NE}) * 1}_{\text{Übereinstimmung}} = 1-2p_2^{NE} \]
\[ 2p_2^{NE}-1 = 1-2p_2^{NE} \ \ \ \Leftrightarrow \ \ \ p_2^{NE}=\frac{1}{2} \]
Dies kann analog für Spieler:in 2 gezeigt werden, sodass wir ein Nash-Gleichgewicht haben
Bisher haben wir angenommen, dass die Spieler:innen ihre Entscheidungen gleichzeitig treffen oder nicht wussten, wie sich die anderen entschieden haben
In vielen strategischen Situationen handeln die Akteure aber sequenziell und können auf andere reagieren
Verhandlungen
Handelskonflikte, die bspw. mit Zöllen und anderen Beschränkungen geführt werden
Investitionsentscheidungen
Viele Auktionstypen
In den 90er und 00er Jahren expandierte Southwest Airlines aggressiv und begann, Stück für Stück viele neue Flughäfen und Routen zu befliegen
Goolsbee und Syverson (2008, QJE) dokumentieren die Reaktionen der Marktteilnehmer
Einzigartiges natürliches Experiment: Das Routennetzwerk ermöglicht es, Bedrohungen zu identifizieren (siehe nächste Folie)
Andere Airlines kämpfen bereits vor Markteintritt: Deutlich niedrigere Preise, mehr Kapazität und mehr Reisende
Tatsächlicher Eintritt drückt Preise dann weiter
Wie können wir über diese strategische Situation nachdenken?

Es gibt ein bestehendes monopolistisches Unternehmen im Markt
Ein zweites Unternehmen überlegt, in den Markt einzutreten
Kommt es zu einem Markteintritt, kann der ehemalige Monopolist entweder “kämpfen” oder nicht (\(\neg\))
Teamarbeit: Wie geht das Spiel aus?

extensiver FormEs gibt zwei (eigentlich drei) Nash-Gleichgewichte
Es ist leicht zu zeigen, dass beides Gleichgewichte sind, da einseitige Abweichungen keinen Gewinn bringen


Gleichgewicht 2 ist merkwürdig
leere DrohungWir nehmen daher eine Verfeinerung unserer Gleichgewichtsidee vor
In einem teilspielperfekten Gleichgewicht induzieren die Gleichgewichtsstrategien in jedem Teilspiel ein Nash-Gleichgewicht
Anders ausgedrückt: Die Spieler:innen spielen an jedem Entscheidungsknoten optimale Antworten, nicht nur im ganzen Spiel
Ein Teilspiel ist das gesamte Spiel, das auf einen Entscheidungsknoten folgt

Im ersten dieser Spiele ist der Monopolist wählt er \(\neg\) kämpfen, im zweiten wählt er \(\neg\) kämpfen, und im Gesamtspiel gibt es zwei Nash-Gleichgewichte (siehe oben)
Um teilspielperfekte Gleichgewichte zu finden, bedienen wir uns der Rückwärtsinduktion
Wir beginnen bei den letzten Teilspielen und finden das Nash-Gleichgewicht (zumeist die optimale Entscheidung)
Dann ersetzen wir die payoffs im nächstfrüheren Teilspiel und suchen wieder das Nash Gleichgewicht
Wir finden teilspielperfekte Gleichgewichte, indem wir “rückwärts”, also vom Spielende her überlegen
Ein Entführer hat eine Geisel genommen und überlegt, ob er sie freilassen soll
Teamarbeit: Finden Sie alle Nash-Gleichgewichte in reinen Startegien und prüfen Sie, ob sie teilspielperfekt sind

Wenn die Geisel frei ist, wird sie den Täter identifizieren wollen
Mögliche Lösungen durch Selbstbindung
Kompromitierende Fotos der Geisel, die beim Entführer verbleiben (Schelling)
Verwandt: Drakonische Strafen für Lösegeldzahlungen (z.B. in Italien)

Oft kann Kooperation auch ganz ohne Verträge oder Strafen aufrecht erhalten werden
Wenn man häufiger interagiert, bekommt man die Gelegenheit, die andere Seite zu bestrafen und so optimale Strategien zu beeinflussen
Insbesondere in unendlich wiederholten Spielen kann dies sehr wirksam sein (bzw. wenn das Ende zufällig/nicht vorhersehbar ist)
In endlich wiederholten Spielen sind die Gleichgewichte hingegen oft degenerativ
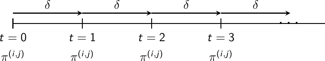
Nehmen wir als Beispiel das unendlich wiederholte Gefangenendilemma

In jeder Periode \(t\) wird ein GD mit den payoffs auf Folie 9 gespielt
Es gibt kein Ende des Spiels
Die Akteure gewichten die Zukunft mit dem Diskontierungsfaktor \(\delta \in (0,1)\) – je höher, desto geduldiger
Der Raum möglicher Strategien ist sehr groß, wie in diesem Video von Veritasium bzw. Derek Muller schön erklärt
Eine mögliche Strategie ist die grim trigger strategy: Schweigen bis der andere redet; danach immer reden
Bei unkooperativem Verhalten wird die andere Person bestraft
Wenn ein:e Spieler:in also eine mögliche Abweichung betrachtet, muss sie die Bestrafung einberechnen
Ist einem die zukünftige Beziehung wichtig genug – ist man hinreichend geduldig –, wird man heute schon kooperieren
Der payoff der grim trigger strategy im Nash Gleichgewicht ist
\[ \sum_{t=0}^{\infty} \delta^t \ \pi^{(s,s)} = \frac{\pi^{(s,s)}}{1-\delta} = \frac{-1}{1-0.8} = -5 \]
Eine potenzielle Abweichung ist, einmal zu reden (und dann nach Bestrafung weiter reden zu müssen)
\[ \pi^{(r,s)} + \sum_{t=1}^{\infty} \delta^t \ \pi^{(r,r)} = \pi^{(r,s)} + \frac{\delta \ \pi^{(r,r)}}{1-\delta} = 0 + \frac{0.8}{1-0.8}(-2) = -8 \]
In unserem Beispiel ist die Kooperation stabil
Teamarbeit:
Was passiert, wenn \(\delta = 0.4\)?
Was passiert, wenn das Spiel nur endlich oft gespielt wird und beide Spieler dieses Ende kennen?
Unvollständige Information
Oft kann man nur Erwartungen darüber bilden, was andere tun bzw. wo man sich im Spielbaum befindet
Oft können Signale geschickt werden – die stimmen können, aber nicht müssen (sog. strategische Kommunikation oder cheap talk…
Oft kennt man andere Spieler:innen und ihre (oder die eigenen) Präferenzen gar nicht
Kooperative Spieltheorie
Mechanism Design
Beschäftigt sich mit Zuteilungsmechanismen, die bestimmte Ziele verfolgen
Beispiel: Organspendebörsen, Auktionen
Und viel mehr…
Wie können Sie das Gefangenendilemma lösen?
Gehen Sie auf die nächste Folie, generieren Sie mindestens 3 payoff Matrizen, und finden Sie Gleichgewichte in strikt dominanten Strategien sowie andere Nash Gleichgewichte in reinen und gemischten Strategien – wenn sie existieren
Erklären Sie, was sequenzielle Spiele so interessant macht